电磁超材料因其独特的物理性质(如负介电常数、负折射率、负磁导率等)而受到越来越多的关注,在电磁屏蔽、新型天线、电容器等领域具有广泛的应用前景。超复合材料是电磁超材料的一个分支,其与具有周期性结构的传统超材料不同,超复合材料的负介电常数主要由材料本身的微观结构和组成决定。负介电行为的有效调节是超复合材料的一个重要研究方向,可用于满足多种应用需求。例如,超复合材料的弱负介电行为有利于微波吸收阻抗匹配与正负介电叠层电容器的介电匹配;较大的负介电常数绝对值有利于材料在电磁屏蔽领域的应用。前期研究已证实负介电常数可通过设计材料化学组成和微观结构进行调控。通常地,材料介电行为不仅与材料本身的成分和微观结构相关,还与外界条件相关,如外界温度。但超复合材料的负介电常数对温度依赖性的研究很少,负介电常数与温度之间的关系还不明确,相关作用机理需要进一步研究。
近日,齐鲁工业大学(山东省科学院)材料科学与工程学部环境工程材料创新团队采用热压烧结法制备了不同碳纳米纤维(CNF)含量的氧化铝(Al2O3)陶瓷复合材料,研究了CNF含量和外界温度对超复合材料电性能的影响(图1)。结果表明,CNF含量为2 wt%的复合材料表现出负介电行为,这是由于CNF三维导电网络中自由电子的低频等离子体状态,负介电行为符合Drude模型。此外,高CNF的陶瓷复合材料的负介电常数绝对值增大,这是由于增加的CNF网络为自由电子提供了更多的路径,以及材料内部的自由电子浓度变大。

图1.不同CNF含量的Al2O3陶瓷复合材料的介电频谱
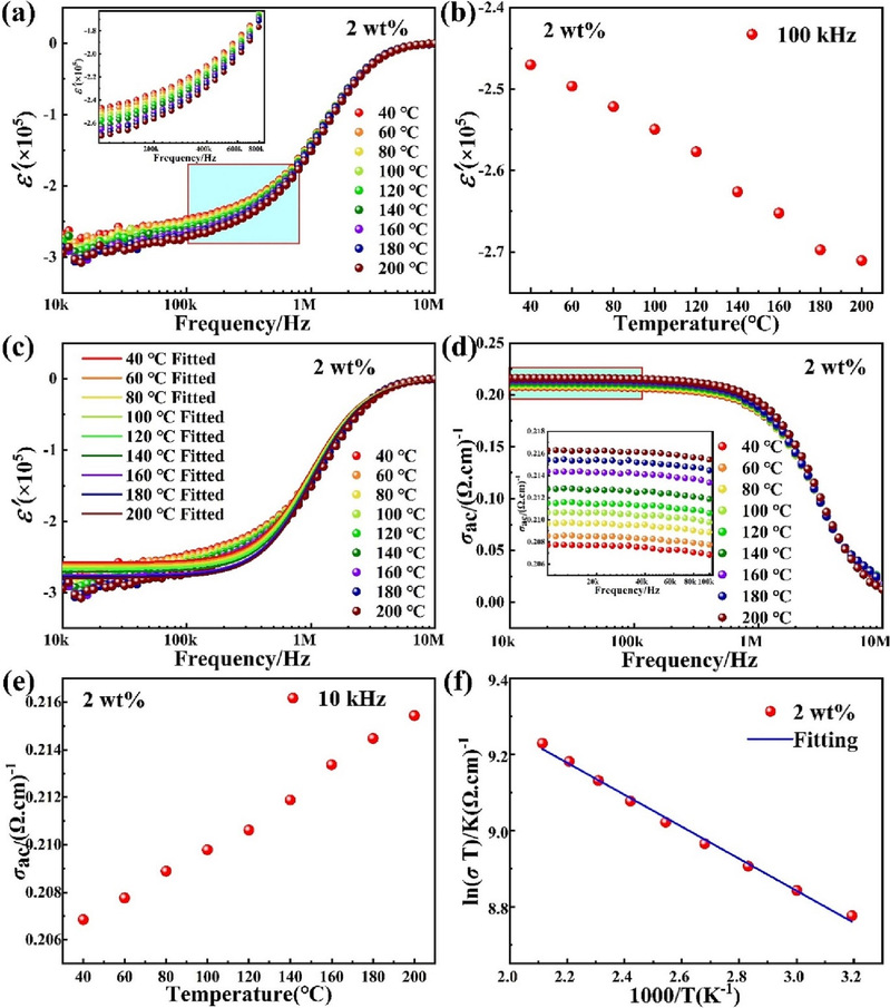
然后,进一步探索了施加外部温度场对CNF/ Al2O3超复合材料的负介电常数的调控作用(图2)。结果表明,负介电常数的绝对值随着温度的升高而增加,特别是较低频率下,变化较为明显。这是由于温度的增加激发出更多的自由电子,因而可以通过改变外部温度实现负介电行为的调控。有趣地是,与调节材料成分和结构相比,复合材料的负介电常数行为可以通过外部温度进行精确调控,这可以丰富负介电常数的调整手段,有助于拓展超复合材料的应用领域。

图2. CNF/Al2O3复合材料的电学特性与温度依赖性
此外,高CNF含量的复合材料在Ku波段具有良好的电磁屏蔽性能,屏蔽效能达到30 dB以上(图3)。研究发现,反射是材料的主要屏蔽机制,材料内部CNF导电网络的构建是提高电磁屏蔽性能的重要组织结构。

图3.不同CNF含量的Al2O3陶瓷复合材料的总屏蔽效能(a)和反射、透射、吸收系数(b)
近日,相关成果以“碳纳米纤维/氧化铝超复合材料在不同外部温度下的高可调负介电常数(Highly tunable negative permittivity of carbon nanofiber/alumina metacomposites at different external temperatures)”为题发表在国际知名期刊《Composites Part A: Applied Science and Manufacturing》上。
齐鲁工业大学(山东省科学院)材料科学与工程学部2020级研究生刘元会为文章的第一作者,程传兵副教授为文章的通讯作者。本研究得到国家自然科学基金、中国高校产学研创新基金、山东省博士后创新项目、齐鲁工业大学(山东省科学院)科教产融合试点工程基础研究类项目的支持。
论文链接:https://doi.org/10.1016/j.compositesa.2023.107660
